Работа одноконтурной САУ при использовании непрерывного и цифрового регуляторов, реализующих П-, ПИ- и ПИД-закон регулирования
Передаточная функция, переходная функция, регулятор, фиксатор нулевого порядка, оптимальное управление, цифровой -фильтр В данной курсовой работе предложено синтезировать и проанализировать работу одноконтурной САУ при использовании непрерывного и цифрового регуляторов, реализующих П-, ПИ- и ПИД- закон регулирования. Оптимизация САУ производится по критерию максимальной динамической точности. В завершении был рассчитан цифровой фильтр, обеспечивающий перевод системы из одного состояния в другое за минимальное число периодов квантования при наличии ограничения на управляющие воздействие. СОДЕРЖАНИЕ Введение Определение параметров оптимальной настройки регуляторов Переходные процессы в замкнутой системе при использовании непрерывного регулятора и их анализ Определение периода квантования цифрового регулятора и его параметров настройки Анализ устойчивости САУ по критерию Джури и построение переходных процессов в цифровых системах Расчет цифрового фильтра Оптимальное управляющие воздействие и реакция на него приведенной непрерывной части Заключение Список литературы Приложение А
Введение Развитие всех областей техники в настоящее время характеризуется широкой автоматизацией различных производственных процессов. При этом освобождается труд человека, повышается точность и скорость выполнения операций, что значительно повышает производительность производства. Автоматизация обеспечивает работу таких объектов, непосредственное обслуживание которых человеком невозможно из-за вредности, отдаленности или быстрого протекания процесса. В настоящее время резко увеличивается производство различного оборудования для автоматизации промышленности, а также внедряются новые типы автоматических устройств, основанные на последних достижениях науки и техники. Эффективное использование автоматики в народном хозяйстве возможно лишь при условии рационального решения задач на всех этапах ее разработки и освоения. Наиболее ответственным этапом при проектировании систем автоматизации является их синтез, расчет и последующий анализ, которые на сегодняшний день базируются на теории управления. Эта наука позволяет не только найти параметры, при которых система работает устойчиво, различные качественные показатели системы, но также и оптимизировать систему для более рационального использования различных ресурсов.
Определение оптимальных параметров настройки регуляторов Определение оптимальных параметров настройки П-, ПИ-, ПИД-регуляторов производим по расширенных амплитудно-фазовым характеристикам. Расширенной амплитудно-фазовой характеристикой звена или системы называют отношение вектора гармонических вынужденных затухающих колебаний на входе к вектору гармонических затухающих колебаний на входе. Существуют два показателя степени затухания: Y — относительная степень затухания; m — логарифмический декремент затухания, которые связаны между собой следующим далее соотношением:
Из предыдущей формулы (1.1) определяем значение логарифмического декремента затухания m:
Система автоматического управления будет обладать требуемой относительной степенью затухания, если расширенная амплитудно-фазовая характеристика разомкнутой система автоматического управления будет проходить через точку на комплексной плоскости (-1, j0) , т.е. W p (m, jw) * W o (m, jw) = -1, (1.3) или -W p (m, jw) = 1/ W o (m, jw) , (1.4) Для получения расширенной амплитудно-фазовой характеристики необходимо в передаточную функцию подставить: p = -mw + jw = w (j-m) .
Рис. 1.1. Структура схемы непрерывной САУ
Передаточная функция нашего исходного объекта имеет следующий далее вид:
Формула (1.6) представляет собой инверсную расширенную амплитудно-фазовую характеристику объекта.
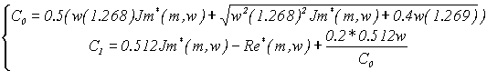
Так как заданное значение Y = 0.96, то по формуле (1.2) определим значение m и подставим его в предыдущую формулу расширенной амплитудно-фазовой характеристики, m = 0.512.
Перед тем, как определить оптимальные параметры настройки П, ПИ, ПИД регуляторов найдем частоту среза нашего объекта. Частота среза — это такое значение частоты w = w c , при котором значение амплитуды на выходе не превышало бы трех процентов от амплитуды при нулевой частоте. Запишем выражение амплитудно-фазовой характеристики нашего объекта:
Амплитудно-фазовую характеристику объекта можно найти из следующей формулы:
где Re(w) — вещественная часть амплитудно-фазовой характеристики; Jm(w) — мнимая часть амплитудно-фазовой характеристики.
При нулевой частоте значение амплитуды равно 3.1. Значит необходимо найти такое w = w с , чтобы
Таким образом, необходимо рассчитать уравнение
Решением этого уравнения является то, что мы находим следующие параметры w = 0.417, следовательно, и w c = 0.417. Для определения оптимальных параметров регулятора необходимо решить уравнение (1.6) . Приравняв вещественные и мнимые части в уравнении (1.6) , можно получить расчетные формулы для определения параметров регуляторов [4, ст 250]:
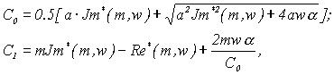
Для ПИД-регулятора имеем два уравнения с тремя неизвестными, тогда задаемся отношением:
В этом случае расчет формулы для ПИД-регулятора принимает следующий далее вид:
Расчет оптимальных параметров настройки для П-регулятора представлен следующим образом:
Из второго уравнения системы (1.10) найдем w и подставим это значение в первое уравнение системы. При решении получи, что w = 0.354 и оптимальными параметрами настройки П-регулятора является значение К р опт = 1.01. Рассчитываем оптимальные значения параметров настройки для ПИ-регулятора. Для каждого значения частота от 0 до частоты среза находи точки С 1 С 0 и С 1 , соответствующие требуемой степени затухания Y. Оптимальным параметром является точка на линии, равной степени затухания С 1 С 0 = f(С 1 ) , лежащая справа от глобального максимума. Эти параметры обеспечивают:
Итак, запишем далее следующую систему уравнений для Пи-регулятора:
Таблица 1.2 Данные для расчета оптимальных параметров настроек ПИ-регулятора
Рис. 1.2. График зависимости С 1 С 0 = f(C 1 ) для Пи-регулятора Максимальное значение функции С 1 С 0 = 0.048 при С 1 = 0.694. Берем точку правее глобального максимума С 1 = 0.777, С 1 С 0 = 0.0459. Решив систему уравнений (1.11) получим оптимальные параметры настройки К р опт = 0.777, T u опт = 16.928.
Рассчитываем оптимальные параметры настройка для ПИД-регулятора:
Для каждого значения частота от 0 до частоты среза находим точки С 1 С 0 и С 1 , соответствующие требуемой степени колебательности m = 0.512, решив систему (1.12) . Данные расчетов представлены в таблице 1.1. По эти данным построим график зависимости С 1 С 0 = f(С 1 ) . Таблица 1.1 Данные для расчета оптимальных параметров настроек ПИД-регулятора
Рис. 1.3. График зависимости С 1 С 0 = f(C 1 ) Нужно взять точку, лежащую справа от глобального максимума. Максимальное значение С 1 С 0 =0.268, при С 1 = 1.576. Берем точку С 1 С 0 = 0.2592 при С 1 =1.9456. По этим значениям определим оптимальные параметры регулятора:
Таким образом, оптимальные параметры настройки для ПИД-регулятора:
Переходные процессы в замкнутых системах Запишем выражение передаточной функции для системы в замкнутом состоянии:
где
Тогда выражение (2.1) будут иметь вид:
Найдем передаточную функцию для замкнутой системы с П-регулятором, т.е. W p (p) = К p . К p — оптимальное значение, найденное в первом разделе, т.е. К p = 1.01. Передаточная функция замкнутой системы с П-регулятором имеет следующий вид:
Переходная функция замкнутой системы:
Найдем полюса функции (2.4) . Для этого необходимо найти корни следующего уравнения:
p(
Они равны: p 1 = 0; p 2 = — 0.435; p 3 = — 0.181 — j0.34; p 4 = — 0.181 + j0.34. Переходная функция для замкнутой системы с П-регулятором будет иметь следующий вид: h(t) = 0.757-0.052e -0.424t * cos(0.254t) — 0.3857e -0.181t * sin(0.354t) . Построим переходный процесс функции, изобразим график этого процесса на рисунке 2.1.
Рис. 2.1. Переходный процесс в замкнутой системе с П-регулятором Запишем передаточную функцию для замкнутой системы с ПИ-регулятором, т.е.:
В качестве К р и Т u берем значения, которые были получены в первом разделе, т.е. берем К р = 0.777 и Т u = 16.928. Тогда выражение передаточной функции имеет следующий далее вид:
Запишем передаточную функцию замкнутой системы с ПИ-регулятором, для этого воспользуемся формулой (2.1) :
Переходная функция замкнутой системы имеет следующий вид:
Найдем полюса функции (2.7) . Для этого необходимо найти корни следующего уравнения:
p(
Они равны: p 1 = — 0.421; p 2 = — 0.075; p 3 = — 0.149 — j0.29; p 4 = — 0.149 + j0.29; p 5 = 0. Переходная функция для замкнутой системы с ПИ-регулятором будет иметь следующий вид: h(t) = 1- 0.0609e -0.421t — 0.757e -0.148t *cos(0.29t) -0.487 0.148t *sin(0.29t) -0.181e -0.075t Построим переходный процесс функции, изобразим график этого процесса на рисунке 2.2.
Рис. 2.2. Переходный процесс в замкнутой системе с ПИ-регулятором Запишем передаточную функцию для замкнутой системы с ПИД-регулятором, т.е.:
В качестве К
р
, Т
u
и Т
g
берем значения, которые были получены в первом разделе, т.е. берем К
р
= 1.9456, Т
u
= 7.506, и Т
g
= 0.976. Тогда выражение передаточной функции имеет следующий далее вид:
Запишем передаточную функцию замкнутой системы с ПИД-регулятором, для этого воспользуемся формулой (2.1)
:
Переходная функция замкнутой системы имеет следующий вид:
Найдем полюса функции (2.10) . Для этого необходимо найти корни следующего уравнения:
p(
Они равны: p 1 = 0; p 2 = -0.405 — j0.116; p 3 = -0.405 + j0.116; p 4 = -0.039 — j0.192; p 5 = -0.039 + j0.192. Переходная функция для замкнутой системы с ПИД-регулятором будет иметь следующий вид: h(t) = 1 — 0.2927e -0.404t *cos(0.1157t) - 0.032e -0.404t *sin(0.1157t) - 0.6934e -0.038t *cos(0.1918t) - 0.2055e -0.0388t *sin(0.1918t) . Построим переходный процесс функции, изобразим график этого процесса на рисунке 2.3.
Рис. 2.3. Переходный процесс в замкнутой системе с ПИД-регулятором Определение периода квантования цифрового регулятора и пересчет его параметров Необходимо выяснить соответствие коэффициентов неопределенного и цифрового регуляторов. Для выбора периода измерений цифрового регулятора строим амплитудно–частотную характеристику замкнутой системы и определяем частоту среза, при которой значение амплитуды на выходе не превышает три проценты от амплитуды при нулевом значении частоты. Для этого возьмем передаточные функции замкнутой системы (для всех типов регуляторов) , которые были найдены во втором задании курсовой работы. Передаточная функция замкнутой системы с П-регулятором:
Передаточная функция замкнутой системы с ПИ– регулятором:
Передаточная функция замкнутой системы с ПИД-регулятором:
Выражение амплитудно-частотной характеристики для системы с П-регулятором будет иметь следующий вид:
Выражение амплитудно-частотной характеристики для системы с ПИ-регулятором будет иметь следующий вид:
Выражение амплитудно — частотной характеристики для системы с ПИД-регулятором будет иметь следующий вид:
Так как частота среза равна трем процентам от нулевого значения, то необходимо решить уравнение следующего вида:
Частоту измерений принимают как:
где w c = 3.8194 (наибольшее значение) , при котором период квантования равен T 0 = 0.411. Так как полученное значение меньше заданного, то произведем пересчет параметров. В общем виде дискретную передаточную функцию искомого элемента можно записать следующим образом:
В нашем случае выражение (3.9) примет вид:
где
C учетом этих выражений необходимо пересчитать параметры непрерывных регуляторов в параметры цифровых. Запишем передаточные функции непрерывных регуляторов:
W p (p) = 1.01; (3.11)
После вычисления коэффициентов q 0 , q 1 и q 2 дискретные передаточные функции будут иметь вид:
Анализ устойчивости системы автоматического управления по критерию Джури и построение переходных процессов в цифровых системах При анализе цифровых систем управления их представляют в виде трех элементов: цифрового фильтра (регулятора) , фиксатора и приведенной непрерывной части. Так как в системе имеет мести фиксатор нулевого порядка с передаточной функцией вида:
то с учетом того, что z = e –pT , эту функцию можно записать в следующем далее виде:
Сомножитель 1/р относят к линейной части, поэтому передаточная функция приведенной непрерывной части может быть записана в следующем виде:
Так как
Найдем выражение для передаточной функции линейной части:
Для вычисления h(t) воспользуемся методом неопределенных коэффициентов. Необходимо определить полюса. Для этого необходимо найти корни следующего уравнения:
(
Решив данное уравнение, мы получили, что его корни следующего вида: p 1 = 0; p 2 = — 0,2; p 3 = — 0,33; p 4 = -0,25. Переходная функция линейной части имеет следующий вид: h(t) = -21,93e -0.2t –4.03e -0.33t +22.86e -0.25t +3.1. (4.6) С учетом формулы (4.4) получаем
После раскрытия скобок и приведения подобных мы получаем равенство в следующем виде:
Результирующая передаточная функция разомкнутой системы может быть определена как произведение передаточной функции приведенной непрерывной части и передаточной функции цифрового фильтра:
Дискретная передаточная функция замкнутой системы:
Определим значение W 3 (z) для каждой из систем:
W н. ч. (z) — определена по формуле (4.7) , тогда:
W н. ч. (z) — определена по формуле (4.7) , тогда:
После того, как получим выражение дискретных передаточных функций для всех систем, проанализируем устойчивость этих систем по критерию Джури. Критерий устойчивости заключается в следующем. Пусть задан А(z) — характкристический полином: A(z) = a 0 z n + a 1 n-1 + … + a n , a 0 > 0. Введем понятие обратного полинома, получаемого перестановкой коэффициентов исходного в обратном порядке: A(z) = a n z n + a n-1 n-1 + … + a 0 . Разделим A(z) на обратный ему. В итоге получаем частное от деления число q 0 и остаток А 1 (z) — полином n-1 степени. Домножим полученный результат на z -1 . Получаем: A 1 (z) = (a 0 -a n q 0 ) z n-1 + … + (a n-1 -a 1 q 0 ) .
Затем делим остаток A
1
(z) на обратный ему A
10
(z) и определяем новое q
1
и A
2
(z)
Выполняя деление полиномов A i (z) на обратные ему A i0 (z) , получаем последовательность чисел q i = {q 0 , q 1 , q 2 , …, q n-2 }. Необходимым и достаточным условием устойчивости цифровой системы являются неравенства: А(1) =(a 0 + a 1 + a 2 +…+a n ) >0; (-1) n А(-1) =(a 0 (-1) n + a 1 (-1) n-1 +…+a n ) >0; |q i |<1, i=0,1,2, …, n-2. Используя вышеизложенное, определим устойчивость наших систем. Система с П-регулятором. Характеристический полином имеет следующий вид: А(1) = 1 — 2.7544 + 2.5359 — 0.7817=0.003039>0. (-1) 3 A(-1) = -(1 — 2.7544 + 2.5359 — 0.7817) >0.
А(z) = z
3
-2.7544z
2
+2.5359z — 0.7817 Обратный полином
Разделим A(z) на A 0 (z) .
0,3852z-0,7686z 2 +0,3888z 3 Домножим полученный результат на z -1 , тогда: A 1 (z) = 0,3852-0,7686z+0,3888z 2 , A 10 (z) = 0,3888-0,7686z+0,3852z 2 . Разделим A 1 (z) на A 10 (z) .
-0.00718z+0.00723z 2 Домножим полученный результат на z -1 , тогда: A 2 (z) = 0.007238z-0.007187. В результате расчетов получили, что q 0 , q 1 , q 2 по модулю меньше единицы, таким образом, все три неравенства выполняются. Следовательно, цифровая система устойчива. Система с ПИ-регулятором. Характеристический полином имеет вид: Степень полинома n=4. Множество q i = {q 0 , q 1 , q 2 }.
А(1) =
(-1)
4
A(-1) =
Обратный полином:
Разделим A(z) на A 0 (z) .
-0,383z+1.147z 2 -1.1506z 3 +0,3861 z 4 Домножим полученный результат на z -1 , тогда: A 1 (z) = -0,383+1.147z-1.1506z 2 +0,3861 z 3 , A 10 (z) = -0,361+1.1506z-1.147z 2 +0,383 z 3 . Разделим A 1 (z) на A 10 (z) .
0,006046z-0,01207z 2 +0,00605z 3 Домножим полученный результат на z -1 , тогда: A 2 (z) = 0,006046z-0,01207z 2 +0,00605z 3 , A 20 (z) = 0,00605-0,005474z 2 -0,006046z 3 . Разделим A 2 (z) на A 20 (z) .
-0,000027278z+0,000027353z 2 Домножим полученный результат на z -1 , тогда: A 3 (z) = -0,000027278z+0,000027353z 2 В результате расчетов получили, что q 0 , q 1 , q 2 по модулю меньше еденицы, таким образом, все три неравенства выполняются. Следовательно, цифровая система устойчива. Система с ПИД-регулятором. Характеристический полином имеет вид: Степень полинома n=5. Множество q i = {q 0 , q 1 , q 2 , q 3 }.
А(1) =
(-1)
5
A(-1) =
Разделим A(z) на A 0 (z) .
0,7347z-3,1644z 2 +5,102835z 3 -3,6802818z 4 +0,999747z 5 Домножим полученный результат на z -1 , тогда: A 1 (z) = 0,7347-3,1644z+5,102835z 2 -3,6802818z 3 +0,999747z 4 , A 10 (z) = 0.99974 -3,680218z+5,1028z 2 -3,1644z 3 +0,7347z 4 . Разделим A 1 (z) на A 10 (z) .
-0,4596z+1,3255z 2 -1,3545z 3 +0,4597z 4 Домножим полученный результат на z -1 , тогда: A 2 (z) = -0,4596+1,3255z-1,3545z 2 +0,4597z 3 , A 20 (z) = -0,4597+1,3545z-1,3255z 2 +0,4596z 3 . Разделим A 2 (z) на A 20 (z) .
-0,0288981z-0,02926z 2 +0,91927z 3 Домножим полученный результат на z -1 , тогда: A 3 (z) = -0,0288981-0,02926z+0,91927z 2 , A 30 (z) = 0,91927-0,02926z-0,02889881z 2 . Разделим A 3 (z) на A 30 (z) .
-0,0305301z+1.028762z 2 Домножим полученный результат на z -1 , тогда: A 4 (z) = -0,0305301+1.028762z. В результате расчетов получили, что q 0 , q 1 , q 2 по модулю меньше единицы, таким образом, все три неравенства выполняются. Следовательно, цифровая система устойчива. После того, как определили устойчивость системы по критерию Джури, необходимо построить переходный процессы в замкнутых цифровых системах. Для построения переходных процессов в замкнутых цифровых системах воспользуемся обратным z-преобразованием. Eсли функция имеет m-полюсов z k ={z 1 , z 2 , …, z n }, то:
где A(z k ) — числитель функции W 3 (z) ; B ’ (z k ) — производная знаменателя функции W 3 (z) ; Замкнутая система с П-регулятором Передаточная функция для цифровой замкнутой системы с П-регулятором имеет вид:
Переходная функция замкнутой системы равна:
Для вычисления f[n] найдем полюса функции
Полюса функции: z 1 = 1; z 2 = 0,8422; z 3 = 0,954 — j0,313; z 4 = 0,954 — j0,313. Производная знаменателя функции: B ’ (z) = -11.25z 2 +10.574z-3.317+4z 3 . Подставим значение полюсов функции и значение производной в формулу (4.13) , получим выражение для: где a= z 1 ; b = z 2 ; c = z 3 ; d = z 4 ;
Изобразим переходный процесс на рисунке 4.2.
Рис. 4.2. Переходный процесс в системе с П-регулятором
Замкнутая система с ПИ-регулятором Передаточная функция для цифровой замкнутой системы с ПИ-регулятором имеет вид:
Переходная функция замкнутой системы равна:
Для вычисления f[n] найдем полюса функции
Полюса функции: z 1 = 1; z 2 = 0.847; z 3 = 0.965; z 4 = 0.973 — j0.0113; z 5 = 0.973 + j0.0113. Производная знаменателя функции: B ’ (z) = 5z 4 -19.027z 3 +27.171 z 2 -17.253z+4.110 Подставим значение полюсов функции и значение производной в формулу (4.13) , получим выражение для f[n]: где а = z 1 ; b = z 2 ; c = z 3 ; d = z 4 ; e = z 5 ;
Изобразим переходный процесс на рисунке 4.3.
Рис. 4.3. Переходный процесс в системе с ПИ-регулятором
Замкнутая система с ПИД-регулятором Передаточная функция для цифровой замкнутой системы с ПИД-регулятором имеет вид:
Переходная функция замкнутой системы равна:
Для вычисления f[n] найдем полюса функции
Полюса функции: z 1 = 1; z 2 = -0,021; z 3 = 0,84; z 4 = 0,935-j0,171; z 5 = 0,935+j0,171; z 6 =0,98. Производная знаменателя функции: B ’ (z) = 6z 5 -23.347 z 4 +34.893 z 3 -24.39 z 2 +7.505z-0.660 Подставим значение полюсов функции и значение производной в формулу (4.13) , получим выражение для f[n]:
где а = z 1 ; b = z 2 ; c = z 3 ; d = z 4 ; e = z 5 ; f = z 6 . Изобразим переходный процесс на рисунке 4.4.
Рис. 4.4. Переходный процесс в системе с ПИД-регулятором Расчет цифрового фильтра Для расчета цифрового фильтра, переводящего линейную часть из начального в конечное состояние за минимальное число периодов квантования и обеспечивающего ограничение на заданное управляющие воздействие, необходимо вычислить минимально возможный период квантования, но чтобы было удовлетворено условие: |U m — q 0 |Ј 0,05, (5.1) где U m = 1,0. Вычисление значения q 0 следует начать с определения значений коэффициентов числителя Z-передаточной функции приведенной непрерывной части для принятого периода дискретности. Пусть Z-передаточная функция приведенной непрерывной части представима в виде:
Тогда Z-передаточная функция оптимального по быстродействию цифрового фильтра W ф (z) имеет вид:
где p i = b i q 0 , i = 1,2, …, m; q i = a i q 0 , i = 1,2, …, m;
Воспользовавшись формулой (4.7) для W нч (z) , находим функции b i , а i и Т 0 . Для коэффициентов b i имеем:
Для коэффициентов а i имеем:
Найдем выражение для q 0 :
Определим Т 0 при котором выполняется условие (5.1) , для этого построим график зависимости и изобразим его на рисунке 5.1.
Рис. 5.1. График зависимости |U m — q 0 (Т 0 ) | При построении графика видим, что Т 0 = 4,61, q 0 (Т 0 ) = 1,002. Определим коэффициенты, подставив найденное значение Т 0 в выражение (5.4) и (5.5) : b 1 (Т 0 ) = 0,718; b 2 (Т 0 ) = 0,332; b 3 (Т 0 ) = -0,052; a 1 (Т 0 ) = -0,932; a 2 (Т 0 ) = 0,281; a 3 (Т 0 ) = -0,027; Подставляя найденные значения в выражения (5.2) и (5.3) определим передаточные функции приведенной непрерывной части и цифрового фильтра.
Находим Z — передаточную функцию для разомкнутой цифровой системы по формуле: W p (z) = W н. ч. (z) * W ф (z) . (5.9) Определим Z — преобразованную функцию замкнутой системы по каналу задание — управляющее воздействие по формуле:
Определим Z — преобразованную функцию замкнутой системы по каналу задание — выходной сигнал по формуле:
Пусть f — функция определяющая зависимость между q 0 от Т 0 , т.е. q 0 =f(Т 0 ) , тогда f –1 — обратная ей функция, т.е. Т 0 =f –1 (q 0 ) . Для того, чтобы найти период квантования необходимо минимизировать функцию Т 0 =f –1 (q 0 ) с учетом условия (5.1) . Так как в явном виде функцию Т 0 =f –1 (q 0 ) вывести сложно, но из графика видно, что она монотонно убывает, следовательно минимум на отрезке q 0 О [3,45; 3,55] будет при q 0 =3,55. Расчет Т 0 сводится к решению уравнения
Для решения данного уравнения воспользуемся алгоритмом поиска корня уравнения методом дихотомии. После решения уравнения мы получили, что Т 0 =1,25. Подставляя значение Т 0 =1,25 в выражения (5.4) -(5.9) найдем коэффициенты Z-передаточной функций приведенной непрерывной части. Тогда
При этом q 0 =3,540075. Согласно формуле (5.3)
Найдем Z-передаточную функцию разомкнутой цифровой системы. Она равна W р (z) =W нч (z) * W ф (z) и равна
Z-передаточная функция замкнутой цифровой системы по каналу задание — управляющие воздействие равна
и равна
Z-передаточная функция замкнутой цифровой системы по каналу задание — выходная величина равна
и равна
Вычислим коэффициенты усиления по указанным каналам. По определению коэффициент усиления есть отношение изменения на выходе к изменению на входе в установившемся режиме, т.е.
Так как
то подставляя выражения (5.15) и (5.16) в выражение (5.17) найдем, что j (Ґ) =1, а m (Ґ) =0,4. Так как D x(Ґ) =1, а j (0 - ) =0 и m (0 - ) =0, то коэффициент усиления по каналу задание — выходная величина равен 1, а по каналу задание — управляющие воздействие равен 0,4. Построим переходную функцию цифрового фильтра. Она равна:
Для вычисления f[n] найдем полюса функции
Находим 2 полюса 1-го порядка и 1 полюс 2-го порядка. Полюса 1-го порядка: z=-0,307 и z=-0,045. Полюс 2-го z=1. Для вычисления переходной функции необходимо вычислить производную следующей функции
Производная данного выражения равна:
Тогда передаточная функция примет вид
Изобразим переходный процесс на графике.
Рис. 5.2. Переходная функция цифрового фильтра
Для построения переходных процессов в замкнутой цифровой системе по каналам задание — выходная величина и задание — управляющие воздействие воспользуемся уравнениями в конечных разностях. Суть метода заключается в следующем. Пусть передаточная функция цифровой системы
Этой передаточной функции соответствует уравнение в конечных разностях:
Значение искомой выходной величины равно
Согласно формуле (5.19) получим, что переходная функция замкнутой цифровой системе по: каналу задание — выходная величина y[k]=0,647726Ч x[k-1] –0,620803Ч x[k-2] –0,037272Ч x[k-3] +0,149369Ч x[k-4] –0,024633Ч x[k-2] –0,001394Ч x[k-2] +1,481007Ч y[k-1] –0,695097Ч y[k-2]+ +0,101098Ч y[k-3]; · каналу задание — управляющие воздействие y[k]=3,540075Ч x[k] –10,485749Ч x[k-1] +12,686121Ч x[k-2] – –8,004397Ч x[k-3] +2,770507Ч x[k-4] –0,497542Ч x[k-5]+0,036182Ч x[k-6]+ +1,481007Ч y[k-1] –0,695097Ч y[k-2]+ +0,101098Ч y[k-3]. Данные расчетов были сведены в таблицы с учетом того, что x[k]=1. Таблица 5.1. Переходная функция замкнутой цифровой системе по каналу задание — выходная величина
Оптимальное управляющее воздействие и реакция на него приведенной непрерывной части Оптимальное управляющие воздействие было найдено в пункте 5 и в координатах времени имеет следующий вид: m (t) =3,54(h(t) -h(t-T 0 ) ) –1,703(h(t-T 0 ) -h(t-2* T 0 ) ) +(6.1) +0,758(h(t-2* T 0 ) -h(t-3* T 0 ) ) +0,4 h(t-3* T 0 ) , где h(t) — функция Хевисайда; T 0 — период квантования равный 1,25. Тогда m (t) =3,54(h(t) -h(t-1,25) ) –1,703(h(t-1,25) -h(t-2,5) ) +(6.2) +0,758(h(t-2,5) -h(t-3,75) ) +0,4 h(t-3,75) . Изобразим данное управляющее воздействие на графике. Для нахождения реакции непрерывной линейной части на данное воздействие воспользуемся изображением Лапласа. Используя свойство линейность данного изображения и теорему запаздывания найдем, что j (t) = 3,54(g(t) — g(t-1,25) ) –1,703(g(t-1,25) -g(t-2,5) ) +(6.3) +0,758(g(t-2,5) -h(t-3,75) ) +0,4 h(t-3,75) , где g(t) =f(t) h(t) ,
– переходная функция линейной части, найденная нами в пункте 4. Изобразим реакцию непрерывной линейной части на оптимальное управляющие воздействие. Рис. 6.2. Реакция непрерывной линейной части на оптимальное управляющие воздействие На этом все построения окончены. Заключение В данной курсовой работе был сделан синтез и анализ оптимальной одноконтурной САУ при использовании трех типов регуляторов, реализующих П-, ПИ- и ПИД-закон регулирования. Проведены сравнительный характеристики данных типов регуляторов и был сделан вывод, что ПИД-закон регулирования является наилучшим среди рассмотренных. Были проведены расчеты по использованию данных регуляторов в цифровых системах. Как показали расчеты, несмотря на то, что цифровые системы — это системы дискретного действия и действуют через определенные промежутки времени, переходные процессы в цифровых системах не сильно отличаются от переходных процессов в непрерывных системах, а конечное состояние выходной величины одинаково. Кроме того, развитие микропроцессорной техники и использование теории управления в цифровых системах позволяют создать регуляторы различной сложности и с заранее заданных свойствами. Один из регуляторов, обеспечивающий перевод системы из одного состояния в другое за минимальное число периодов квантования при наличии ограничения на управляющие воздействие, был синтезирован в данной курсовой работе. Список литературы
Поделитесь этой записью или добавьте в закладки |
Полезные публикации |
, (1.5)
, (1.7)
.
, (1.9)
где а = w(m
2
+1) ;
, (1.10)
.
, (1.12)
, (2.1)
, (2.4)
, (2.7)
, (2.10)
. (3.4)
. (3.5)
. (3.6)
. (3.9)
;
;
, переходная функция линейной части системы, то z — передаточную функцию линейной части находим по следующему выражению:
. (4.5)
и т.д.
.
.
.
. (5.2)
, (5.3)
.
. (5.7)
, (5.10)
, (5.10)
. (5.11)
. (5.12)
. (5.13)
(5.15)
(5.16)
.
.
.
.
.
.
. (5.19)
В начало